반응형
학부에서 공부했던 Binary Tree에서 lnorder 형식으로 탐색하는 문제가 나왔습니다.
문제:
Given the root of a binary tree, return the inorder traversal of its nodes' values.
Example

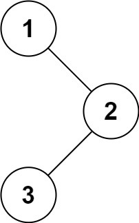
Input: root = [1,null,2,3]
Output: [1,3,2]
tree의 입력값을 받으면 inorder탐색을 하여 경로를 반환하는 문제입니다. 저는 문제를 보고 DFS로 풀면 좋겠다고 생각했습니다.
# Definition for a binary tree node.
# class TreeNode:
# def __init__(self, val=0, left=None, right=None):
# self.val = val
# self.left = left
# self.right = right
class Solution:
def inorderTraversal(self, root: Optional[TreeNode]) -> List[int]:
reuslt = []
def dfs(node):
if node is not None:
dfs(node.left)
reuslt.append(node.val)
dfs(node.right)
dfs(root)
return reuslt
빈 배열을 하나 선언해줍니다. 그러고 dfs함수를 만들어줍니다. 이때 왼쪽 탐색하고 값을 result에 대입하고 오른쪽 탐색하고 node가 None이 아닐 때까지 순회를 해줍니다. 만약 다른 inorder방식이아니라 Preorder나 Postorder라면 알맞게 탐색 순서를 바꾸면 됩니다.
반응형
'혼자 공부하는 것들 > 알고리즘' 카테고리의 다른 글
| 120. Triangle (DP, DFS로 풀어보자!) (0) | 2022.07.03 |
|---|---|
| 11. Container With Most Water (+Python) (0) | 2021.11.08 |
| 200. Number of Islands (leetcode python) +DFS로 풀기 (0) | 2021.10.29 |
| 2. Add Two Numbers (leetcode python) (0) | 2021.10.27 |
| [JS] 프로그래머스 약수의 개수와 덧셈 (0) | 2021.10.21 |
댓글